编者按:本文系四川省委省政府决策咨询委员会副主任、成都市社科联主席李后强教授2024年12月在福建泉州举行的“共赴山海——2024泸州老窖·国窖1573研究院年终智库研讨会”上的发言摘要。

“泸州”与“泉州”都与水有关,自然与酒不可分。
福建泉州,有晋江,是古代海上丝绸之路的重要起点。四川泸州,有长江,是古代南方丝绸之路的重要节点。四川的“蜀”字内有“虫”,福建的“闽”字内有“虫”,跨出省门就是“龙”!北宋四川的苏轼两次到福建泉州,留下许多动人诗作。近年,四川多名领导到福建任职,蜀闽互动频繁。“向西是高峰,向东是大海”。因此,唱好“双城记”、念好“山海经”非常重要!很高兴参加“共赴山海——2024泸州老窖·国窖1573研究院年终智库研讨会”。
一、老窖出彩
泸州老窖是中国白酒的一面旗帜,在数百年积累基础上铸成了1619口百年以上的酿酒窖池,在酒界大放异彩,由此形成了“老窖学”。
何为老窖?这里泛指中国白酒界所有历史悠久的仍然在使用的泥窖。老窖,并不仅仅是时间概念,而且还是一个空间概念,是由时空整合的统一体;老窖,不仅是一个物理概念,而且还是一个复变函数;老窖,不仅是文化遗产,而且还是精神标志;老窖,不仅是个性化的地理概念,而且还是共性化的集合概念,涉及许多领域的专业知识。
何为老窖学?老窖学是在“五深”(深空、深海、深地、深微、深智)基础上发展起来的、专门研究发酵白酒品质与窖池历史、窖泥成分、窖龄长短、窖形构造、菌群行为与酿造工艺之间关系的学问。老窖学旨在揭示老窖奥秘,探索老窖特点,发现老窖规律,推进老窖发展,从而为优质白酒生产提供指引,为中国白酒走向世界做出贡献。老窖学以老窖为中心,从不同维度、不同面向、不同层次、不同途径展开探索,通过总结提炼相关概念、原理、方法,形成逻辑严密的学科体系。老窖学从宏观的地质、地貌、山水、生态、环境,到中观的历史、文化、产业、社会、技术,再到微观的菌群世界的进化穿越,多向发散解答为什么“窖池老、酒质好”这个核心问题。这是一场近似从“0”到“1”的探索,是类似在“无人区”的行走。老窖学回归中国白酒的原真,从老窖物质构成、底层逻辑和学理研究入手,围绕独树一帜的老窖酿造生态,开创一门历史与现实对话、理论与实践结合、继承与创新并重、宏观与微观连通、经济与社会守恒、安全与发展协同的全新学科,在植物生命研究、动物生命研究之外,打开并进入微生物生命世界的未来之门。老窖学紧密围绕“老窖”与“好酒”之间的关系,提出新思路、新分析、新判断、新观点和新对策,探讨一些前人未曾触及的领域,解决其他学科难以解决的问题。同时,将新材料、新能源、数智技术、人工智能、航天航空、生物合成、量子科技等知识融入其中,因地制宜拥抱新质生产力,改造提升传统产业,走出高端化、本土化、绿色化之路。老窖学具有创新性、前沿性、跨界性、系统性的特点,具有坚实的科学依据、哲学基础和文化根基。
二、老窖天地观
什么是天地观?从东方到西方、从古代到现代,都有天地观。如“天人合一”“道法自然”等思想。泸州老窖的天地观由“天地共酿,人间共生”的现实逻辑构成。天上有“生物气溶胶”,地上有“百年老窖泥”,人间有“古代酿造法”,三者具有唯一性和独特性,满足“费马大定律”要求。泸州老窖及其周边地区,数百年的酿酒作坊在发酵、蒸馏、陈酿等过程中产生大量微生物气溶胶。例如,酵母菌、乳酸菌、醋酸菌等是白酒生产中常见的微生物,它们在空气中以气溶胶的形式存在与传播,有助于形成独特的酒香和风味。这种“生物气溶胶”不是任何地方都可以形成的,必须满足特定的地理和气候条件才能形成稳定的微生物气溶胶,比如温度、湿度、高度、风速、光照、地形、地貌等,条件极为苛刻。目前,只发现在泸州上空有这种特殊的有助于酿造优质白酒的生物气溶胶,其他地方没有发现。泸州老窖的传统酿制技艺依赖于特定的微生物群落,这些微生物在长期的酿造过程中逐渐适应了当地的环境条件,形成了独特的“活态双国宝”——即1573国宝窖池群和泸州老窖酒传统酿制技艺。
泸州上空的酿酒微生物气溶胶是一个独特的现象,它反映了当地丰富的微生物资源和悠久的酿酒文化,共同构成了酿造过程中的“天人之桥”,影响着酒的风味和品质。
老窖泥是其酿造工艺中的核心,被称为“地脉之灵”。窖泥中的微生物群落对酒的风味形成至关重要。泸州有独特的盆地涡旋场、天地之心、泸州涡旋、馒头山、窖池群。有专家据此认为,泸州酿酒是“替天行道、顺地敬人”,国窖1573是“天选之酒、地造之醇”。1573国宝窖池群建窖的窖泥选取位于泸州长江边五渡溪岛上特有的黏性黄泥,五渡溪黄泥,堪称“世界最好的窖泥之母”。
盆地涡旋场:四川盆地的地形特点形成了独特的涡旋场,影响着泸州的气候和环境。这种效应就像一个无形的屏障,使得空气中的微生物不易扩散出去,而是在局部区域内聚集。
天地之心:在盆地涡旋场中,川南盆地恰好处于涡旋中心,好比是天地之心,是天地灵气汇聚之处。
泸州涡旋:泸州老窖所在的泸州地区,地形独特,形成了泸州涡旋,半空涡旋盘踞,空气涡旋使得泸州的空气流动相对较为稳定,为涡旋中的微生物提供了非常适宜的生长条件。
馒头山:是川南地区的典型地貌,这种地貌有利于空气环流和温度调节,为窖池提供了一个理想的发酵环境。地形结构——馒头山的圆弧形轮廓和相对独立的存在形式,稳定空气流动,为酿酒创造有利的小气候环境,是天然的气候调节器。温度调节——白天吸收太阳热量,升高周围气温;夜晚释放热量,起到保温作用。适宜的温度使微生物活性达到最佳状态,高效转化糖分,提升酒的品质和口感稳定性。稳定的温湿度有助于微生物的正常代谢活动,提高发酵效率。窖池群——泸州也是窖池聚集地,具有集群效应,使得空气中微生物更加丰富多样,而微生物的活性和多样性,提高了酒的质量和产量。由此可见:泸州是天然发酵地。
老窖天地观,从“天地同酿,人间共生”的现实逻辑到“天人耦合”的哲学精神,延伸到“云水相伴、日月赋能”。老窖天地观是由老窖独有的技艺工程体系、社会人文价值、地理自然要素,在哲学和精神层面形成的独到的思维方式、思想理念和思考维度,融合了天(地理自然)、地(技艺工程)、人(人文价值)主体的聚变能量。
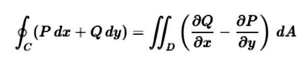
老窖天地观,包括生命重演律、高维统一律、同频共振律、自旋手性律、量子时空律、步调一致律、霍尔增效律、自主进化律、时变涌现律、差异协同律、整体优化律、拓扑相变律、黄金分割率、分形生长律、耗能最低律等原理。采用的方法有最小作用量原理、拉格朗日函数、格林公式(路径积分)与边缘效应等。格林公式是数学分析中的一个重要定理,它描述了二维平面区域内曲线积分与区域内部二重积分之间的关系。格林公式可用于计算封闭曲线上的路径积分,特别适用于处理平面内的向量场问题。格林公式的形式:设C是平面上一条简单闭合曲线,是由C围成的区域,P(x,y)P(x,y)和Q(x,y)Q(x,y)是定义在D上的两个连续可微函数,则格林公式为:

其中,左侧是沿闭合曲线C的路径积分,右侧是区域D内的二重积分。路径积分是一种在量子力学和统计物理中广泛使用的数学工具,它通过考虑所有可能的路径来计算系统的总贡献。在泸州的背景下,路径积分可类比为酿酒过程中微生物在不同路径上的活动轨迹,尤其是在窖池边缘的环境中。泸州的窖池位于盆地边缘地带,这里的环境条件(如温度、湿度、光照等)可能存在一定的梯度变化。微生物在这样的环境中活动时,可能会沿着不同的路径进行迁移和代谢。路径积分可帮助我们理解微生物在不同路径上的行为,以及这些路径如何影响最终的酿酒结果。通过路径积分,我们可以量化微生物在不同环境条件下的活动模式,进而优化酿酒工艺。例如,路径积分可帮助我们找到最有利于微生物生长和代谢的路径,从而提高白酒的质量和风味。泸州窖池充分利用了当地独特的自然环境条件,确保了微生物生态系统的稳定性和多样性。通过耗能最低律和拉格朗日函数,我们可以理解微生物在不同环境条件下的最优路径。
xⁿ+yⁿ=Zⁿ整数n>2时,无整数解。天(自然)ⁿ+地(物质)ⁿ=人(人类)ⁿ。
在二维以下,勾股定理是成立的:a²+b²=c²,在三维以至高维世界中,自然、物质、人类的关系,在宏观整体上无对应关系,能量的相加和共生,必然要进入微观层面——微生物,原子分子,细胞的层面尺度,天地人(能量、形态)的相互作用叠加在宏观世界不可实现。
在老窖天地观指导下,构建一个全面而深入的老窖知识体系。围绕“老窖”主题展开一系列研究与创作,比如老窖酿造学、老窖营销学、老窖传播学、老窖健康学、老窖历史学、老窖文化学、老窖生态学、老窖社会学、老窖诗歌学、老窖时尚学、老窖青年学、老窖世界学、老窖现代学、老窖川味学等等。
三、中国白酒出海
中国白酒出海是必然趋势,势不可挡。
近年酒界有说法,“不出海就出局”。这个说法不一定正确,但有鼓舞作用。世界80亿人,市场很大。中国白酒品质独霸天下,无法相比。中国白酒国际化,要“去原乡化,再本土化”。川酒出海,必须学习川菜出国经验,入乡随俗,再次创新。优质资源永远稀缺,没有“内卷”。只有低质低端才有“内卷”,高质高端没有“内卷”,永远畅销。出海不是因为“内卷”,而是要融入世界大家庭,让世界品味中国白酒!“降维打击”不是贬低对方,而是提高自己。泸州老窖在国际化方面做了大量探索,成效显著。
泸州老窖具有独特文化。国窖1573这款白酒采用了泸州老窖池中的微生物生态系统进行发酵,传承了数百年的酿酒技艺。1573不仅是品牌名称的一部分,也象征着泸州老窖池的历史渊源和文化底蕴。在白酒文化中,1573这个数字不仅代表了一个特定的历史年份,还象征着传统与现代的结合,以及对历史文化遗产的尊重和传承。数字1573,满足孪生素数律。孪生素数是指一对素数,它们之间的差为2。例如,(3,5)、(5,7)、(11,13)、(17,19)等都是孪生素数对,表明“好事成双”“好事连连”!虽然1573本身不是素数,但它与孪生素数有着密切的联系,因为它可分解为一对孪生素数的乘积。具体来说:11和13是一对孪生素数。1573=11×11×13,三个素数,表示长宽高,相当于体积。可见1573是黄金体积,是宝石结构。当晶体的两个边长相等而第三个边长不同(如11×11×13),且所有角度都是直角(90°)时,这种晶体属于四方晶系。11×11×13=1573就是四方晶系的宝石级矿物,比如锆石、钛酸锶、白钨矿等,是极为重要的宝石和收臧品!
中国白酒国际化面临的主要问题——人才、供应链、法律法规、食品安全、宗教信仰、市场竞争、汇率变化等问题。此外,还有——
1.口感特点:中国白酒的口感(如辛辣、刺激喉咙等)对于不习惯这种风味的外国消费者来说,可能是难以接受的。
2.文化差异:中国白酒的传统饮用方式,与其他国家流行的烈酒饮用方式存在较大差异。例如,白酒通常纯饮或搭配特定食物,而西方烈酒则常用于调制鸡尾酒。
3.资本推动:国内白酒企业在拓展国际市场时,面临资金支持不足的问题。
4.度数较高:中国白酒的酒精度数,普遍高于西方常见的烈酒,这可能成为偏好低酒精度数饮品消费者的障碍。
5.香气特征:白酒独特的香气,可能被部分外国消费者认为难以接受。
6.国际渠道:在海外市场建立稳定的分销网络和零售渠道,对中国白酒企业来说是一大挑战。
中国白酒国际化的出路在于“五个回归”——
回归科学:加强对中国白酒科学研究的支持,提高其科学性和技术含量。
回归文明:将中国白酒的文化底蕴与现代文明相结合,更好地传递中国文化的精髓。
回归健康:强调中国白酒的健康价值,如适量饮酒对健康的益处。
回归真情:在国际市场上真诚地与消费者沟通,建立真实的情感连接。
回归法治:遵守国际规则,合法合规地开展国际业务。
总体来说,人才第一,应该从律师、会计、审计、经理等方面入手。把华人、华侨作为先遣队。区域路线是从东南亚到北美、欧洲再到非洲等地方。中国美食征服了世界食客的味蕾。中国餐饮在海外已有70多万家门店,遍及180多个国家和地区,市场规模达到3万亿元人民币。川菜是排头兵,火锅是川菜出海的主力军,遍及80多个国家和地区。海底捞在海外有120多家门店,刘一手在海外有80多家门店。2019年火锅海外规模达到373亿美元。因此,川酒出海要学习川菜,并与川菜配套。
中国白酒国际化的三大建议——
第一,与国际咨询公司的合作,制定川酒海外推广规划,针对不同国家和地区制定不同的营销策略。
第二,结合目标市场消费习惯加大技术创新,同时在产品设计、文化创意与品牌建设等方面下功夫,打造具有国际影响力的川酒品牌。
第三,利用跨境电商等新型商业模式,以及利用海外仓资源,提高海外消费者的购买体验,进一步推动中国白酒走向世界。
客户端
媒体矩阵
企业邮箱